What should we be hoarding as the Maga universe learns how tariffs work?

Search
Joined
Mar 23, 2022
Messages
2,104
Reaction score
678
Wait until you see how much the Dow went up after Cramer made his comment.

You people are so dumb it is just surreal.
Went up? It may eventually go back up because it always does. But since that comment 2 days ago it’s gone down almost 4000 points.

Amd what do I need to wait for? I’m into my 8th year of retirement and at a point where I don’t invest, I just spend now lol. I did my investing for 40 years and did it quite well. Good luck dummy, you will need it.
 

Member
Joined
Dec 13, 2007
Messages
18,695
Reaction score
2,819
You don't "see things differently"

You are flat retarded.

Remember when you thought Trump would dump Vance?
Remember when you thought women would surge to the polls and defeat Trump?
Remember when you thought the joke about Puerto Rico doomed Trump's campaign?
Good god, you're obssed

And who cares..?

Answer...just you My RX Karen.
 

Member
Joined
Dec 13, 2007
Messages
18,695
Reaction score
2,819
Wait until you see how much the Dow went up after Cramer made his comment.

You people are so dumb it is just surreal.

Tripling down...market down 2800 since your less than enlightened Cramer comment...

You're really bugged by this Cramer thing?.
Come on dude..you can't possibly be this thin skinned...maybe beating it up on a little read sports forum with strangers is too much for you...or it appears that way.

Oh well....big liberal 🫂 hug
 

Member
Joined
Dec 13, 2007
Messages
18,695
Reaction score
2,819
Lol. Ok the Dow went up over the last days. You’re so very smart. Wow
Crazy thing is the economic fundamentals are decent...the market has been overactive, there's no chance these tarrifs can be maintained....

Trump is a moron the market rebounds quickly in the aftermath of his stupidity .
 

Member
Joined
Dec 13, 2007
Messages
18,695
Reaction score
2,819

Trump Has Already Botched His Own Bad Tariff Plan​

Once you’ve said you might negotiate, nobody is going to believe you when you change your mind and say you’ll never negotiate.


Good read...
 

Member
Joined
Dec 15, 2017
Messages
20,671
Reaction score
2,072
Tariff rate = Trade Deficit/exports to US

For example China:

Rate = 295.4 billion/439.9 billion = about 67%

Then US imposes about half of that on the country in reponse. So in this case, 34%


For countries that the US has a trade surplus with, the US imposes a 10% rate automatically


Beyond flawed way of calculating this shit
 

Member
Joined
Dec 15, 2017
Messages
20,671
Reaction score
2,072
They basically calculated trade deficit in percentage terms and called it "tariffs against the US"

LOL
 

Member
Joined
Dec 15, 2017
Messages
20,671
Reaction score
2,072
How the genius Trump administration rate calculated the "tariff rate" against the US by other countries


Tariff rate = Trade Deficit/exports to US

For example China:

Rate = 295.4 billion/439.9 billion = about 67%

Then US imposes about half of that on the country in reponse. So in this case, 34%


For countries that the US has a trade surplus with, the US imposes a 10% rate automatically


Beyond flawed way of calculating this shit
 

Member
Joined
Dec 15, 2017
Messages
20,671
Reaction score
2,072
Basically, the steeper your trade deficit the larger you're being tariffed

Trump math baby
 

Active member
Joined
Dec 11, 2006
Messages
60,398
Reaction score
4,135
Do you really think Trump has a team of rubes, Av? You can bet your butt that they have a plan and it has been completely examined, inside, out, upside down.

I don't pretend to be smart enough to either endorse it or condemn it. But I endorse the team who devised it.

These guys are businessmen first. This isn't Joe Biden or Kamala Harris or Barrack Obama or George Bush.
 

Member
Joined
Dec 15, 2017
Messages
20,671
Reaction score
2,072
Do you really think Trump has a team of rubes, Av? You can bet your butt that they have a plan and it has been completely examined, inside, out, upside down.

I don't pretend to be smart enough to either endorse it or condemn it. But I endorse the team who devised it.

These guys are businessmen first. This isn't Joe Biden or Kamala Harris or Barrack Obama or George Bush.
Why was that calculation used then?

There is no logic behind it

It’s simply calculating trade deficit as a percentage of trade volume. It’s very basic…..
 

RX Member
Joined
Sep 21, 2004
Messages
17,522
Reaction score
6,143
Why was that calculation used then?

There is no logic behind it

It’s simply calculating trade deficit as a percentage of trade volume. It’s very basic…..

What is your source ?
 

Member
Joined
Dec 15, 2017
Messages
20,671
Reaction score
2,072
What is your source ?
The White House said it.

And you can plug in numbers for literally every country and it will check out to that board Trump had

See China example in the first post
 

Member
Joined
Dec 15, 2017
Messages
20,671
Reaction score
2,072
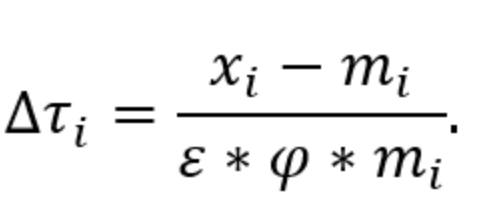
The White House added two variables in the denominator of their calculation to reflect price sensitivity

But they fixed these amounts at 4 and 0.25 for every single country and multiplied them

4 x 0.25 =1

Which means the variables didn’t matter and you are left with Trade balance/Imports

This is released by the administration
 

RX Member
Joined
Sep 21, 2004
Messages
17,522
Reaction score
6,143
The White House said it.

And you can plug in numbers for literally every country and it will check out to that board Trump had

See China example in the first post

So that’s what all of this means ?

:+clueless

 

Member
Joined
Dec 15, 2017
Messages
20,671
Reaction score
2,072
So that’s what all of this means ?

:+clueless

Yes this is the exact formula I'm talking about

E and p equal 4 and 0.25 for ALL countries, which means when you multiply them they equal 1, making the formula:

Delta = X - m / m

AKA

Trade balance - imports / imports


Which is what I said earlier.

Plug the trade balances and imports in for ANY country, and it will equal what is on the board Trump shared in the Rose Garden.

I already used China as an example with 67%

Screenshot 2025-04-05 at 6.56.19 PM.png
 

Member
Joined
Dec 15, 2017
Messages
20,671
Reaction score
2,072
Sorry x-m is the trade balance

Which is what I said earlier
 

Forum statistics

Threads
1,139,128
Messages
13,882,332
Members
104,552
Latest member
anaooanaya
The RX is the sports betting industry's leading information portal for bonuses, picks, and sportsbook reviews. Find the best deals offered by a sportsbook in your state and browse our free picks section.FacebookTwitterInstagramContact Usforum@therx.com